More Subtle Issues

Connectedness

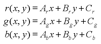
We can use our plane equations to generate the fill color
Lecture 8 Slide 19 6.837 Fall '98