Solution Method


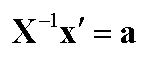
We've used this technique several times now. We set up 6 linear equations in terms of our 6 unknown values. In this case, we know the coordinates before and after the mapping, and we wish to solve for the entries in our Affine transform matrix.

This gives the following solution:
>
Lecture 10 Slide 16 6.837 Fall '98