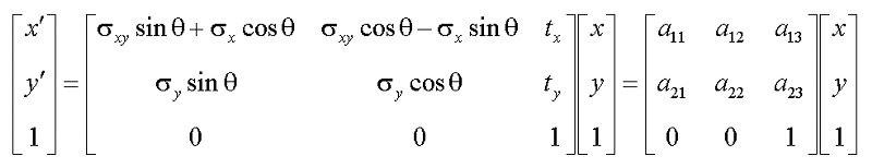
Affine Transformations
A 6-parameter group of transforms


Lecture 10 Slide 12 6.837 Fall '98