The Same Point in Different Frames
Given our framework, some rather difficult problems become easy to solve.
For instance, suppose you have 2 frames, and you know the coordinates of
a particular point relative to one of them.
How would you go about computing the coordinate of your point reltative to
the other frame?
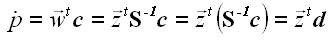
Suppose that my two frames are related by the transform S as shown below.
Thus, the coordinate for the point in second frame is simply:
Even harder problems become simple. Suppose that you want to rotate the points describing
some object (say a child) about some arbitrary axis in space (say a merry-go-round). This is easy
so long as we have the transform relating our two frames.
 Thus,
|
|