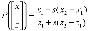
Linear Interpolation in 3-Space
to interpolation in 3-space
Lecture 18   Slide 10   6.837 Fall '00